• 免费服务热线
  • 400-065-6886
  • 电话:86(0)512-6295 9990
  • 传真:86(0)512-6295 9995
新闻中心

转录组Plus | 2020年7月研究进展(二):阿尔茨海默症、胶质母细胞瘤、COVID-19、牛酮症、玉米耐低温等

发稿时间:2020-08-04来源:天昊生物


题目:miR155 regulation of behavior, neuropathology, and cortical transcriptomics in Alzheimer's diseasemiR155对阿尔茨海默症的行为、神经病理学和皮质转录组学的调控研究

发表期刊:Acta Neuropathol.  发表时间:2020-7-14  影响因子:14.251

摘要速览:

MicroRNAs是大脑功能的重要调节因子,也与多种神经疾病发病机制有关。许多研究发现在多种神经退行性疾病中miR155的失调,包括阿尔茨海默症(AD)、帕金森症、肌萎缩性侧索硬化和创伤性脑损伤。在以前的工作中,研究者观察到miR155基因靶标在多个脑组织和疾病环境中差异表达的基因中富集。在此,研究者完成了4个月、8个月和10个月大的WTAPP/PSEN1小鼠在缺失或存在miR155的情况下的转录组、电生理、神经病理和学习行为特征的检测。研究者还整合了来自四个独立的AD队列研究的大脑RNA-seq数据,总共包括从六个大脑区域收集的928个样本。研究者报告表明,与小鼠皮质miR155缺失相关的基因表达扰动和与AD相关变化一致。最近,独立的人类迟发性AD (LOAD)被描述为多种遗传基础和病理生理机制的临床病理表现。研究者的表明miR155可能与LOAD的至少四个组成部分有关:(1)先天免疫反应途径;(2)病毒响应基因网络;(3)突触病理方面;和(4)涉及淀粉样β(Aβ)的前淀粉样生成途径。



题目:HDAC6/HNF4α loop mediated by miR-1 promotes bile acids-induced gastric intestinal metaplasiamiR-1介导的HDAC6/HNF4α环可以促进胆汁酸诱导的胃黏膜肠化

发表期刊:Gastric Cancer  发表时间:2020-7-23  影响因子:7.088

摘要速览:

背景:胃黏膜肠化(IM)被认为是一种癌前病变,胆汁酸(BA)IM的诱导中起着重要作用。在BA诱导的骨髓间充质干细胞模型中观察到HNF4α的异位表达。然而该蛋白在肠上皮细胞中上调的机制仍有待阐明。方法:用转基因小鼠模型鉴定HNF4α对体内胃粘膜细胞的作用,用RNA-seq筛选脱氧胆酸的下游靶标。通过免疫组织化学和原位杂交检测正常人、胃炎和IM组织切片或微阵列中关键分子和miR-1的表达。通过ChIP和荧光素酶报告分析来研究HDAC6的转录调控。结果:转基因小鼠模型验证了HNF4α刺激胃粘膜HDAC6表达和粘蛋白分泌。在IM细胞模型和患者标本中也检测到HDAC6HNF4α表达增加。HNF4α能结合并激活HDAC6启动子。反过来,HDAC6提高了GES-1细胞中HNF4α蛋白的水平。此外,miR-1通过靶向HDAC6HNF4α抑制下游肠道标志物的表达。结论:研究者的发现表明miR-1调控的HDAC6/HNF4α环在IM中起重要作用。阻断这一环的激活可能是一种潜在的方法来预防BA诱导的IM甚至胃癌。



题目:LncRNA-mRNA expression profiles and functional networks in osteoclast differentiation

破骨细胞分化的基因表达谱和功能网络分析

发表期刊:J Cell Mol Med.  发表时间:2020-7-26  影响因子:4.486

摘要速览:

人破骨细胞由CD14+单核细胞分化而来,负责骨吸收。长非编码核糖核酸(lncRNAs)已被证明与多种生物过程,尤其是细胞分化过程有重要关系。然而,lncRNAs在破骨细胞分化中的作用却未被重视。在本研究中,RNA-seqrRNA去除法建库)用来鉴定破骨细胞分化中的lncRNAsmRNAs表达谱。结果表明,破骨细胞分化后,1117296个基因的表达发生了显著变化。qRT-PCR分析发现结果几乎与RNA-seq数据一致。GOKEGG分析用于预测这些差异表达的基因和非差异表达的基因的功能。通路网络分析表明MAPK途径、PI3K-AKT途径和NF-kappa B途径在破骨细胞分化中起重要作用。共表达网络和竞争性的内源性RNA网络(ceRNA)表明,ENSG00000257764.2-miR-106a-5p-TIMP2在破骨细胞分化中可能起核心作用。研究者的研究为进一步理解lncRNAs在破骨细胞分化中的作用和潜在机制提供了基础,其中许多可能是骨代谢疾病的潜在靶点。



题目:Gene regulation network analysis reveals core genes associated with survival in glioblastoma multiforme

基因调控网络分析揭示多形性胶质母细胞瘤生存相关的核心基因

发表期刊:J Cell Mol Med.  发表时间:2020-7-21  影响因子:4.486

摘要速览:

多形性胶质母细胞瘤(GBM)是一种非常严重的中枢神经系统癌症。本研究选择来自GEO数据库的389GBM肿瘤和67个正常组织的芯片数据和来自TCGA-GBM数据集(169GBM5个正常样品)RNA-seq数据,来寻找差异表达基因(DEGs)。利用RRA(Robust rank aggregation)方法整合7个数据集,并计算133个基因突变(82个上调基因和51个下调基因)。随后,通过PPI(蛋白质-蛋白质相互作用)网络和MCODE/ cytoHubba方法,研究者最终从整个网络中筛选出10hub基因,包括FOXM1CDK4TOP2ARRM2MYBL2MCM2CDC20CCNB2MYCEZ2。研究者还选择了CCNB2CDC20MYBL2作为核心生物标志物,并在CGGAHPACCLE数据库中进行了进一步验证,表明这三个核心hub基因可能参与了GBM的起源。这些潜在的GBM生物标志物可能有助于阐明肿瘤发生的分子机制在GBM癌症的诊断、预后和靶向治疗中的重要作用。



题目:Tiotropium is Predicted to be a Promising Drug for COVID-19 Through Transcriptome-Based Comprehensive Molecular Pathway Analysis

基于转录组的综合分子途径分析预测噻托溴铵是一种有希望的抗COVID-19药物

发表期刊:Viruses  发表时间:2020-7-20  影响因子:3.816

摘要速览:

SARS-CoV-2引起的冠状病毒病(COVID-19)的爆发在许多方面影响了世界上几乎所有人。研究者前期报道了基于深度学习的药物-靶点亲和力模型预测了抗病毒药物(阿塔扎那韦、雷替西韦和洛匹那韦/利托那韦)和非抗病毒药物(噻托溴铵和雷帕霉素)可能抑制SARS-CoV-2的复制复合物。在本研究中,研究者进一步分析了GEO数据库中SARS-CoV-2病毒侵染正常人支气管上皮(NHBE)细胞过程的转录组数据。结果表明,SARS-CoV-2感染显著上调TNF, IL1B, IL6, IL8, NFKB1, NFKB2RELB基因,激活TNFNFκB-signaling信号通路。除了这些途径,肺纤维化、角质化/角化、类风湿性关节炎和干扰素-γ相关负调节途径也显著上调。研究者观察SARS-CoV-2的这些病理特征与慢性阻塞性肺病(COPD)患者中观察到的相似。有趣的是,噻托溴铵,正如MT-DTI所预测的,目前被用作COPD患者的治疗干预。已经证明用噻托溴铵治疗可以通过减轻气道炎症来改善肺功能。因此,文献检索总结了噻托溴铵在体外或体内降低IL1BIL6IL8RELANFKB1和肿瘤坏死因子的表达,并且已知它们中的许多在COPD患者中被解除调节。这些结果表明,COVID-19类似于由传染性SARS-CoV-2感染引起的COPD的急性模式,因此噻托溴铵可能对COVID-19患者有效。   





题目:Integrating RNA-Seq with GWAS reveals novel insights into the molecular mechanism underpinning ketosis in cattle

整合RNA-SeqGWAS揭示了牛酮症分子机制新见解

发表期刊:BMC Genomics  发表时间:2020-7-17  影响因子:3.594

摘要速览:

背景:牛酮症是奶牛常见的代谢性疾病,给世界范围内的乳品工业造成长期的经济损失。虽然许多国家已经采用了抗酮症的遗传选择,但酮症背后的遗传和生物学基础却知之甚少。结果:研究者在产犊前(2)和产犊后(5)分别采集了12头荷斯坦奶牛的24份血样,包括4头健康奶牛和8头酮症奶牛。然后,研究者分别从这些样本的白细胞和血浆中获得了RNA-seq数据和七种血液生化指标。通过使用加权基因共表达网络分析(WGCNA),研究者检测到16个基因模块中有4个在转录水平(FDR < 0.05)与产后酮症和几个生物指标(如高密度脂蛋白和低密度脂蛋白)相关,这些基因模块与脂质代谢和免疫反应显著相关。通过对6个常见性状(酮症、乳腺炎、皱胃移位、子宫炎、低钙血症和存活率)进行全基因组关联分析 (GWAS),研究者发现16个模块中有4个模块与酮症有关(FDR < 0.05),其中3个模块与基于WGCNA的酮症有关。研究者进一步鉴定了5个酮症候选基因,包括GRINAMAF1MAFAC14H8orf82RECQL4。表型组关联分析(Phe-WAS)表明,这些候选基因的人类同源物也与人类的许多代谢、内分泌和免疫特征显著相关,表现出与代谢和内分泌的显著关联。结论:总之,研究者的研究为牛酮症的分子机制提供了新的见解,并强调了对组学数据和跨物种作图的综合分析有望阐明支持复杂性状的遗传结构。


题目:Identification of candidate genes and regulatory factors related to growth rate through hypothalamus transcriptome analyses in broiler chickens

通过下丘脑转录组分析鉴定肉鸡生长速率相关的候选基因和调控因子

发表期刊:BMC Genomics  发表时间:2020-7-23  影响因子:3.594

摘要速览:

背景:对肉鸡生长速度(GR)的严格选择会带来负作用,例如骨骼发育和免疫系统的异常、心力衰竭和肉品质的恶化。在波兰,快速增长的鸡群在增长率方面非常不均匀,这对家禽生产者来说无利可图。因此,有必要鉴定能够支持选择过程的肉鸡GR遗传标记。下丘脑通过诱导重要的垂体激素与生长调节密切相关。因此,目前的研究使用这种组织来精确定位与鸡生长控制有关的基因。结果:试验包括在3周龄和6周龄雄性肉鸡的两个发育阶段,在相同的饲养条件下饲养。所获得的结果表明,在低GR肉鸡中,与促食欲分子相关的基因,如神经肽Y (NPY)、醛脱氢酶1家族成员A1 (ALDH1A1)、甘丙肽(GAL)和前黑色素浓缩激素(PMCH)的过表达。结论:研究结果揭示了饱腹中心与生长过程之间的密切联系。本研究为肉鸡的下丘脑调节提供了新的见解,并缩小了寻找遗传标记的范围。


题目:Analysis of Transcriptome and miRNAome in the Muscle of Bamei Pigs at Different Developmental Stages

八眉猪不同发育期肌肉转录组和miRNA组的分析

发表期刊:Animals  发表时间:2020-7-15  影响因子:2.323

摘要速览:

骨骼肌的生长涉及复杂的发育过程,在猪肉品质的确定中起着重要的作用。骨骼肌mRNAmiRNA谱的研究对于寻找改善猪育种肉质的分子方法特别重要。因此,研究者在三个发育阶段的猪中研究了骨骼肌的转录组(mRNAmiRNA)谱:胚胎65天(E65),出生后0天(成年)和10个月(成年)。研究者发现出生时与E65,成年与E65和成年与出生时的10,03590504841个差异表达(DE)基因,以及5510185 DE miRNA。此外,选择与同一对照组中相应miRNA呈负相关的DE miRNA靶基因进行富集分析。GO分析主要分为发育过程。通路分析显示,Rap1信号传导、柠檬酸循环、氧化磷酸化等途径富集。最后,采用RT-PCR验证11 DE miRNA14 DEG的表达水平。本研究从八眉猪不同发育阶段骨骼肌的转录组谱中,获得了数百种DE miRNAmRNA以及miRNA-mRNA调控网络,这些可以为进一步了解关键分子机制和改善猪育种的肉质提供有价值的见解。


题目:High-Throughput Sequencing-Based Identification of Arabidopsis miRNAs Induced by Phytophthora capsici Infection

基于高通量测序的辣椒疫霉诱导的拟南芥miRNAs的鉴定

发表期刊:Front Microbiol.  发表时间:2020-7-23  影响因子:4.235


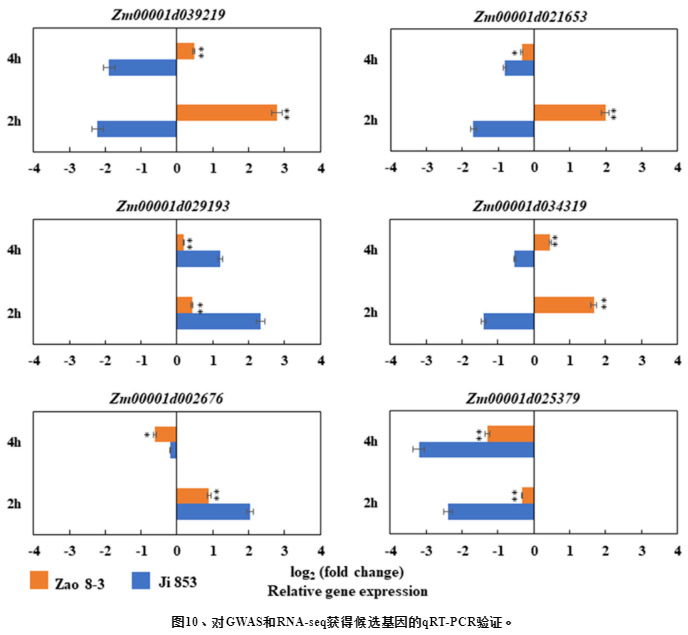
题目:Identification of candidate tolerance genes to low-temperature during maize germination by GWAS and RNA-seq approaches

利用GWASRNA-seq鉴定玉米萌发过程中的耐低温候选基因

发表期刊:BMC Plant Biol.   发表时间:2020-7-14  影响因子:3.497

摘要速览:

背景:玉米是世界上产量和面积最大的主要农作物之一。然而,玉米种质对低温非常敏感,主要是在发芽期间,低温显著影响植物生长和作物产量。因此,鉴定能够提高低温耐受性的基因变得十分必要。结果:本研究利用14个与种子萌发相关的表型性状,通过GWAS来评价玉米的遗传多样性。共检测到30个与低温耐受性相关的SNPs,发现14个候选基因与SNPs直接相关,当筛选范围扩大到包括距离SNPs r2  0.2的连锁不平衡(LD)衰减距离时,又鉴定出68个基因。然后用RNA-seq分析来确认候选基因和低温耐受性之间的联系。在LD衰减的设定距离内(r2  0.2),共发现10个差异表达基因。在这些基因中,有6个基因的表达通过qRT-PCR得到证实。基于GOKEGG富集分析,Zm00001d039219Zm00001d034319分别被认为参与了MAPK信号转导和脂肪酸代谢过程。因此,这些基因似乎与低温信号转导和细胞膜流动性有关。结论:总体而言,通过整合研究者的GWASDEG分析结果,鉴定出总共30SNPs82个相关候选基因,包括10DEGs,其中两个涉及对低温耐受性的响应。功能分析将为理解玉米萌发过程中耐低温的遗传机制提供有价值的信息。





天昊生物具有丰富的转录组相关多组学联合分析,以及全转录组测序和qRT-PCR检测经验,我们致力于为研究者提供“一站式”高质量的科研策略咨询、实验技术服务和遗传数据分析服务,期待成为大家科研工作中的“昊”助手与“昊”伙伴。欢迎联系我们具体咨询!

电话:18964693703微信同号)

公司网址:www.geneskybiotech.com

邮箱:techsupport@geneskies.com



往期文章链接:

转录组Plus | 基因组+转录组除了分析eQTLs,sQTLs也别漏下

转录组Plus | 2020年7月研究进展(一):黑色素瘤、抑郁症、CNV疾病、植物不定根发生等

6个样本全转录组测序,轻松斩获4.2分文章

全转录组测序在植物研究中的应用(黄瓜、番茄、大白菜、泡桐、拟南芥、茶树、胡杨、玉米)

全转录组测序在动物研究中的应用(小鼠、大鼠、兔、猪、牛、鸡、羊)

mRNA/lncRNA/miRNA综合研究思路解读

PceRBase:第一个植物ceRNA数据库

【昊阅读】LncRNA研究,像这个夏天一样“火热异常”

一套RNA-Seq数据发两篇文章,这篇5分文章可能被你漏掉了

【昊阅读】RNA-seq揭示油茶冷适应的分子机制

【昊阅读】Nature:寄生过程“microRNAs制导炮弹”被发现

【昊综述】环状RNA全方位观察:从生物发生到功能




创新基因科技,成就科学梦想



Copyright © 2012-2025 天昊基因科技(苏州)有限公司    All Rights Reserved    苏ICP备17064027号-1